香港马会app
香港马会app新闻
返回主站
香港马会app
医院新闻
健教聚焦
人物专访
视频新闻
精彩专题
医院招聘
香港马会app公告
信息公开
您的位置:
香港马会app
>
香港马会app新闻
>
公告公示
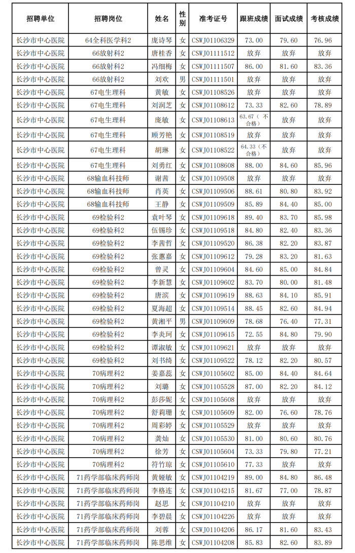
2023年长沙市卫生健康委员会直属事业单位公开招聘考核成绩公示
发布时间:2023-07-04
预约挂号
门诊就医指南
门诊一站式预约中心
住院流程
重点专科